段志远教师所在课题组在《Environmental Impact Assessment Review》发表污碳协同减排领域最新研究成果
发布日期:2025年10月20日 14:39点击次数:
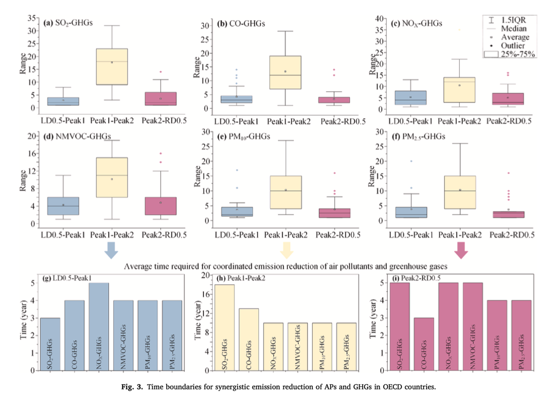
山东大学生态环境损害鉴定研究院段志远教师领衔完成的最新研究,在污碳协同减排领域取得新发现:“发达国家大气污染物和温室气体达峰时间呈梯次性,先后依次为SO2、CO、NOX、NMVOC、PM10、PM2.5、GHG,污碳协同增排过渡到协同减排的时间边界为18-26年”。相关成果以“18–26 years: A critical window for synergistic reduction of atmospheric pollutant and greenhouse gas emissions”为题发表在国际知期刊《Environmental Impact Assessment Review》(SCI、SSCI双检索,Q1,IF=11.2)上。硕士研究生宋萍萍为第一作者,教师段志远、段海燕为共同通讯作者,山东大学为第一单位。
研究以38个OECD国家为研究对象,利用耦合协调度模型和时间边界识别模型,探究了1970-2022年共53年间6种代表性大气污染物与温室气体的排放趋势及协同关系演变规律,揭示出实施协同减排干预适宜的时间边界。结果发现,OECD国家中大多数国家的大气污染物和温室气体排放达峰时间具有先后梯次性,达峰时序依次为SO2、CO、NOX、NMVOC、PM10、PM2.5、GHG。大气污染物和温室气体排放耦合协调度呈现出W型趋势,依次呈现协同增排、不协同和协同减排三个阶段,英国、法国、德国等29个国家已处于协同减排阶段。不同大气污染物和温室气体从协同增排过渡到协同减排的时间边界为18-26年,其中,SO2与温室气体的协同减排时间边界最长为26年,是实施协同减排干预的关键期。协同减排时间边界可以通过缩短污染物和碳排放达峰时间来实现。对广大发展中国家而言,不同大气污染物和温室气体的协同减排措施应该在合适的时间阶段梯次有序开展,通过政策干预尽可能缩短协同减排的时间边界。
本研究的科学贡献在于,不仅揭示了污碳梯次达峰状态,还识别了协同减排的最优时间边界,为我国和广大发展中国家污碳政策制定提供理论参考。



段志远教师所在课题组由段海燕教授牵头,主要围绕碳达峰碳中和与生态环境损害鉴定与赔偿等领域开展研究工作,重点聚焦碳排放核算、减排路径模拟、协同减排机制构建、以及区域生态环境损害的识别、量化与责任判定等关键技术。通过构建多源数据支持下的碳排放评估模型与生态损害评估框架,揭示能源结构转型与生态系统风险之间的耦合关系,为实现“双碳”目标与生态环境保护协同发展提供科学支撑。相关研究已获得国家自然科学基金、生态环境部科研专项、山东省重点研发计划等项目资助。
原文链接:https://doi.org/10.1016/j.eiar.2025.108223.